Population data for 21 autosomal short tandem repeat markers in the Arabic population of the United Arab Emirates

Jones, Rebecca J, Al Tayaare, Wafa, Tay, Guan K, Alsafar, Habiba and Goodwin, William H orcid iconORCID: 0000-0002-3632-3552 (2017) Population data for 21 autosomal short tandem repeat markers in the Arabic population of the United Arab Emirates. Forensic Science International: Genetics, 28 . e41-e42. ISSN 1872-4973

[thumbnail of Author Accepted Manuscript]
Preview
PDF (Author Accepted Manuscript) - Accepted Version
Available under License Creative Commons Attribution Non-commercial No Derivatives.

215kB
[thumbnail of Author Accepted Manuscript - Supplementary Table 1]
Preview
PDF (Author Accepted Manuscript - Supplementary Table 1) - Accepted Version
Available under License Creative Commons Attribution Non-commercial No Derivatives.

12kB
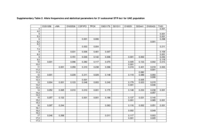
[thumbnail of Author Accepted Manuscript - Supplementary Table 2]
Preview
PDF (Author Accepted Manuscript - Supplementary Table 2) - Accepted Version
Available under License Creative Commons Attribution Non-commercial No Derivatives.

162kB
[thumbnail of Author Accepted Manuscript - Title Page]
Preview
PDF (Author Accepted Manuscript - Title Page) - Accepted Version
Available under License Creative Commons Attribution Non-commercial No Derivatives.

99kB

Official URL: http://dx.doi.org/10.1016/j.fsigen.2017.02.015



Repository Staff Only: item control page