Welcome to

Lancashire Online Knowledge

Image Credit Header image: Artwork by Professor Lubaina Himid, CBE. Photo: @Denise Swanson


Effects of prophylactic knee bracing on knee joint kinetics and kinematics during single- and double-limb post-catch deceleration strategies in university netballers

Sinclair, Jonathan Kenneth orcid iconORCID: 0000-0002-2231-3732, Taylor, Paul John orcid iconORCID: 0000-0002-9999-8397 and Foxcroft, Hannah (2019) Effects of prophylactic knee bracing on knee joint kinetics and kinematics during single- and double-limb post-catch deceleration strategies in university netballers. Sport Sciences for Health . ISSN 1824-7490

[thumbnail of Author Accepted Manuscript]
Preview
PDF (Author Accepted Manuscript) - Accepted Version
Available under License Creative Commons Attribution Non-commercial No Derivatives.

836kB
[thumbnail of Author Accepted Manuscript - Figure 1]
Preview
Image (JPEG) (Author Accepted Manuscript - Figure 1) - Accepted Version
Available under License Creative Commons Attribution Non-commercial No Derivatives.

28kB

Official URL: https://doi.org/10.1007/s11332-018-0517-3

Abstract

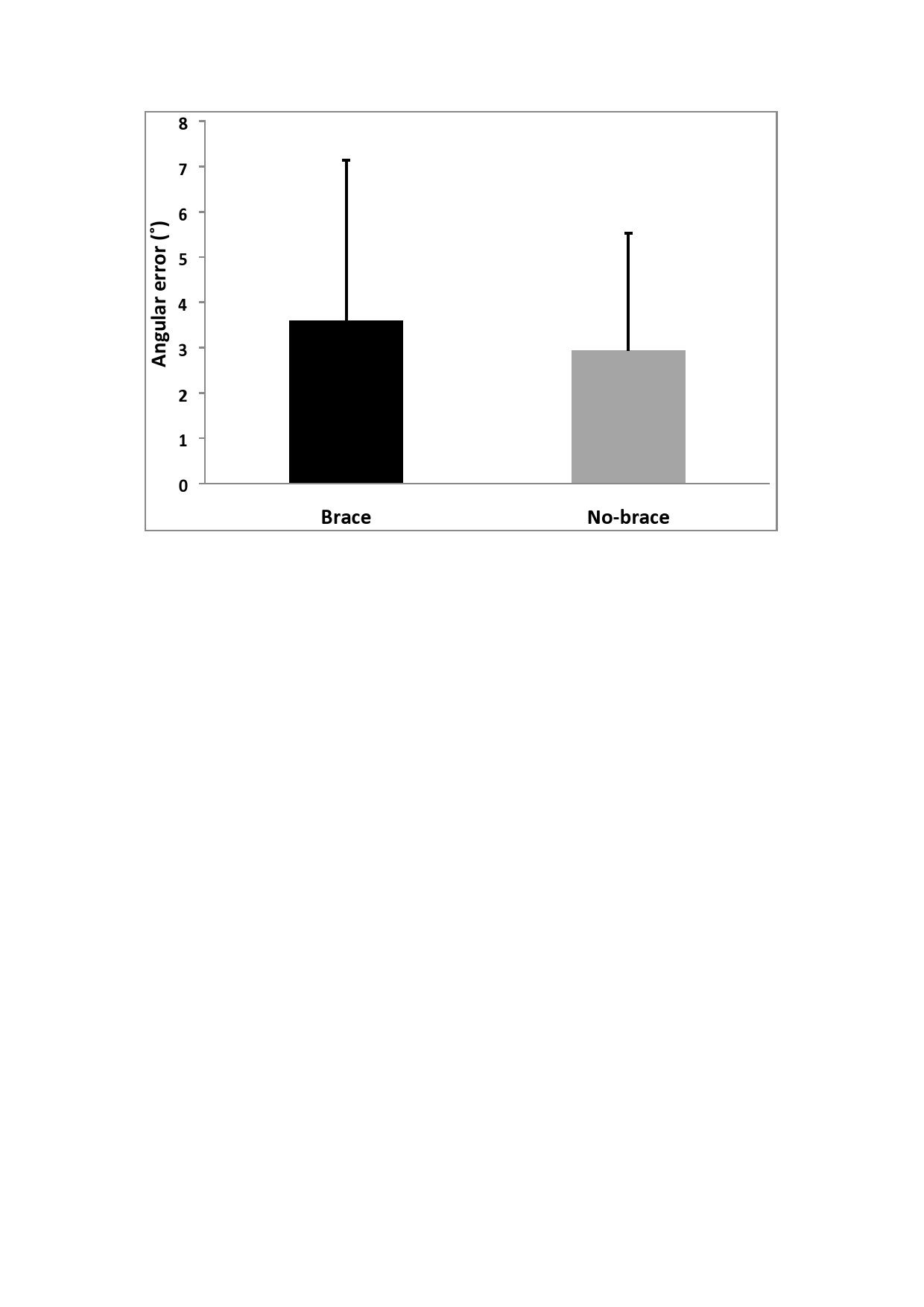
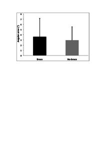
PURPOSE: The aim of the current investigation was to investigate the effects of a prophylactic knee brace on knee joint kinetics and kinematics during single and double limb deceleration tasks. METHODS: Twenty female university first team level netballers performed single and double limb deceleration tasks under two conditions (prophylactic knee brace/ no-brace). Biomechanical data was captured using an eight-camera 3D motion capture system and a force platform. Participants also subjectively rated the comfort/ stability properties of the brace and their knee joint proprioception was examined with and without the knee brace using a weight bearing joint position sense test. RESULTS: The results showed that during both single and double limb deceleration tasks neither peak anterior cruciate ligament (brace: single=1.30 / double=1.30 bodyweight (BW) & no-brace: single=1.19 / double=1.29 BW) P=0.51, patellofemoral (brace: single=4.21/ double = 4.93 BW & no- brace: single=3.99 / double=4.63 BW) P=0.20 or patellar tendon (brace: single = 6.17/ double=6.49 BW & no-brace: single=6.07 / double=6.14 BW) P=0.49 kinetics were significantly affected as a function of wearing the knee brace. The findings also showed that the knee brace helped to increase participants perceived knee stability (P<0.001) but there were no statistical improvements in weight bearing knee proprioception (brace=3.59 & no- brace=2.94˚) P=0.44. CONCLUSIONS: The current investigation indicates that the utilization of prophylactic knee bracing akin to the device used in the current study does not appear to reduce the biomechanical parameters linked to the aetiology of knee injuries, during netball specific deceleration movements.


Repository Staff Only: item control page