Welcome to

Lancashire Online Knowledge

Image Credit Header image: Artwork by Professor Lubaina Himid, CBE. Photo: @Denise Swanson


Effects of different heel heights on lower extremity joint loading in experienced and in-experienced users: A musculoskeletal simulation analysis

Sinclair, Jonathan Kenneth orcid iconORCID: 0000-0002-2231-3732, Brooks, Darrell orcid iconORCID: 0000-0002-4094-5266 and Butters, Bobbie (2019) Effects of different heel heights on lower extremity joint loading in experienced and in-experienced users: A musculoskeletal simulation analysis. Sport Sciences for Health . ISSN 1824-7490

[thumbnail of Author Accepted Manuscript]
Preview
PDF (Author Accepted Manuscript) - Accepted Version
Available under License Creative Commons Attribution Non-commercial No Derivatives.

317kB
[thumbnail of Author Accepted Manuscript - Table 1]
Preview
PDF (Author Accepted Manuscript - Table 1) - Accepted Version
Available under License Creative Commons Attribution Non-commercial No Derivatives.

173kB
[thumbnail of Author Accepted Manuscript - Table 2]
Preview
PDF (Author Accepted Manuscript - Table 2) - Accepted Version
Available under License Creative Commons Attribution Non-commercial No Derivatives.

18kB
[thumbnail of Author Accepted Manuscript - Figure 1]
Preview
Image (JPEG) (Author Accepted Manuscript - Figure 1) - Accepted Version
Available under License Creative Commons Attribution Non-commercial No Derivatives.

586kB
[thumbnail of Author Accepted Manuscript - Figure 2]
Preview
Image (JPEG) (Author Accepted Manuscript - Figure 2) - Accepted Version
Available under License Creative Commons Attribution Non-commercial No Derivatives.

372kB
[thumbnail of Author Accepted Manuscript - Figure 3]
Preview
Image (JPEG) (Author Accepted Manuscript - Figure 3) - Accepted Version
Available under License Creative Commons Attribution Non-commercial No Derivatives.

205kB

Official URL: https://doi.org/10.1007/s11332-019-00534-4

Abstract

Purpose
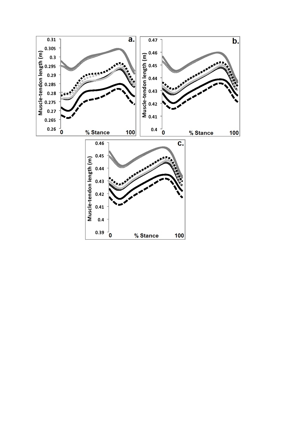
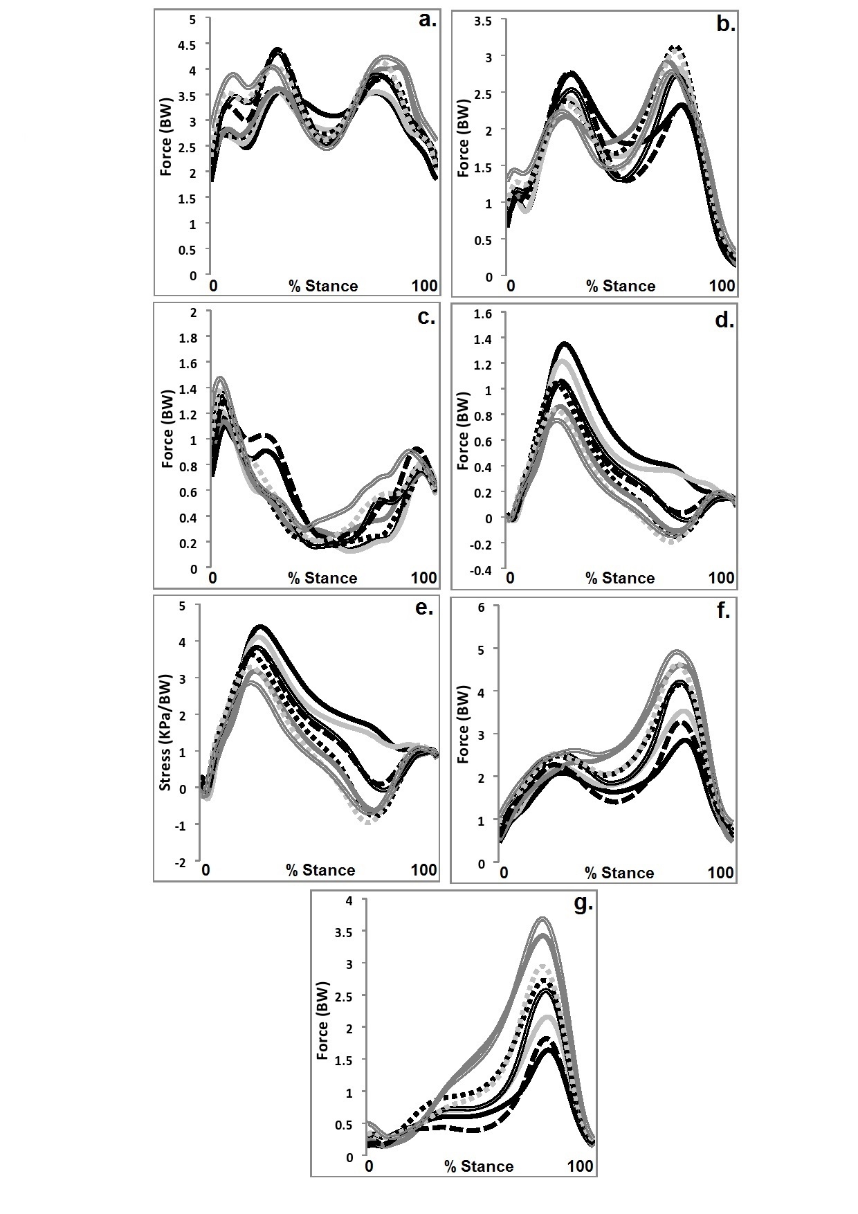
This study examined the effects of different high-heeled footwear heights on lower extremity compressive joint loading and triceps-surae muscle–tendon kinematics during walking, using a musculoskeletal simulation-based approach, in both experienced and in-experienced high heel users.

Methods
The current investigation examined 12 experienced and 12 in-experienced high-heel wearers, walking in four different footwear (high heel, medium heel, low heel, and trainer). Walking kinematics were collected using an eight-camera motion capture system and kinetics via an embedded force plate. Lower extremity joint loading and triceps-surae muscle kinematics were explored using a musculoskeletal simulation approach.

Results
Irrespective of experience, when wearing high heels of increasing height, compressive loading parameters at the medial tibiofemoral compartment and patellofemoral joint were significantly greater and exceeded the minimum clinically important difference (MCID). Furthermore, irrespective of wearers’ experience, the triceps-surae muscle–tendon units were placed in a shortened position when wearing high heels of increasing height, with the differences exceeding the MCID.

Conclusions
It can be concluded that heeled footwear increases the mechanical factors linked to the aetiology of degenerative joint osteoarthritis and chronic shortening of the triceps-surae muscle–tendon units. Therefore, the current investigation provides evidence that irrespective of experience, heeled footwear of increasing height may negatively influence female’s lower extremity musculoskeletal health.


Repository Staff Only: item control page