Welcome to

Lancashire Online Knowledge

Image Credit Header image: Artwork by Professor Lubaina Himid, CBE. Photo: @Denise Swanson


Responses to the primary health care needs of Aboriginal and Torres Strait Islander women experiencing violence: A scoping review of policy and practice guidelines

Walker, Natasha, Mackean, Tamara, Longbottom, Marlene, Coombes, Julieann, Bennett-Brook, Keziah, Clapham, Kathleen, Ivers, Rebecca, Hackett, Maree orcid iconORCID: 0000-0003-1211-9087, Redfern, Julie et al (2021) Responses to the primary health care needs of Aboriginal and Torres Strait Islander women experiencing violence: A scoping review of policy and practice guidelines. Health Promotion Journal of Australia, 32 (2). pp. 40-53.

[thumbnail of Author Accepted Manuscript - Title Page]
Preview
PDF (Author Accepted Manuscript - Title Page) - Accepted Version
Available under License Creative Commons Attribution Non-commercial No Derivatives.

50kB
[thumbnail of Author Accepted Manuscript]
Preview
PDF (Author Accepted Manuscript) - Accepted Version
Available under License Creative Commons Attribution Non-commercial Share Alike.

236kB
[thumbnail of Author Accepted Manuscript - Figure 1]
Preview
PDF (Author Accepted Manuscript - Figure 1) - Accepted Version
Available under License Creative Commons Attribution Non-commercial No Derivatives.

71kB
[thumbnail of Author Accepted Manuscript - Figure 2]
Preview
PDF (Author Accepted Manuscript - Figure 2) - Accepted Version
Available under License Creative Commons Attribution Non-commercial No Derivatives.

43kB
[thumbnail of Supplementary Material - File 1]
Preview
PDF (Supplementary Material - File 1) - Supplemental Material
Available under License Creative Commons Attribution Non-commercial No Derivatives.

108kB
[thumbnail of Author Accepted Manuscript - Table 1]
Preview
PDF (Author Accepted Manuscript - Table 1) - Accepted Version
Available under License Creative Commons Attribution Non-commercial No Derivatives.

86kB
[thumbnail of Author Accepted Manuscript - Table 2]
Preview
PDF (Author Accepted Manuscript - Table 2) - Accepted Version
Available under License Creative Commons Attribution Non-commercial No Derivatives.

90kB
[thumbnail of Author Accepted Manuscript - Table 3]
Preview
PDF (Author Accepted Manuscript - Table 3) - Accepted Version
Available under License Creative Commons Attribution Non-commercial No Derivatives.

59kB

Official URL: https://doi.org/10.1002/hpja.417

Abstract

Issue Addressed
It is demonstrated that primary health care (PHC) providers are sought out by women who experience violence. Given the disproportionate burden of violence experienced by Aboriginal and Torres Strait Islander women, it is essential there is equitable access to appropriate PHC services. This review aimed to analyse whether Australian PHC policy accounts for the complex needs of Aboriginal and Torres Strait Islander women experiencing violence and the importance of PHC providers responding to violence in culturally safe ways.

Methods
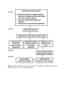
Using the Arskey and O’Malley framework, an iterative scoping review determined the policies for analysis. The selected policies were analysed against concepts identified as key components in responding to the needs of Aboriginal and Torres Strait Islander women experiencing violence. The key components are Family Violence, Violence against Aboriginal and Torres Strait Islander Women, Social Determinants of Health, Cultural Safety, Holistic Health, Trauma, Patient Centred Care and Trauma‐and‐Violence‐Informed Care.

Results
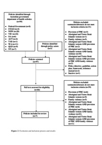
Following a search of Australian government websites, seven policies were selected for analysis. Principally, no policy embedded or described best practice across all key components.

Conclusion
The review demonstrates the need for a specific National framework supporting Aboriginal and Torres Strait Islander women who seek support from PHC services, as well as further policy analysis and review.

So what
Aboriginal and Torres Strait Islander women disproportionately experience more severe violence, with complex impact, than other Australian women. PHC policy and practice frameworks must account for this, together with the intersection of contemporary manifestations of colonialism and historical and intergenerational trauma


Repository Staff Only: item control page