Welcome to

Lancashire Online Knowledge

Image Credit Header image: Artwork by Professor Lubaina Himid, CBE. Photo: @Denise Swanson


Acute biomechanical effects of a lightweight, sock-style minimalist footwear design during running; a musculoskeletal simulation and statistical parametric mapping approach

Sinclair, Jonathan Kenneth orcid iconORCID: 0000-0002-2231-3732, Brooks, Darrell orcid iconORCID: 0000-0002-4094-5266 and Stainton, Philip orcid iconORCID: 0000-0003-0656-5910 (2019) Acute biomechanical effects of a lightweight, sock-style minimalist footwear design during running; a musculoskeletal simulation and statistical parametric mapping approach. Footwear Science, 11 (2). pp. 71-83. ISSN 1942-4280

[thumbnail of Author Accepted Manuscript]
Preview
PDF (Author Accepted Manuscript) - Accepted Version
Available under License Creative Commons Attribution Non-commercial No Derivatives.

515kB
[thumbnail of Author Accepted Manuscript - Figure 1]
Preview
Image (JPEG) (Author Accepted Manuscript - Figure 1) - Accepted Version
Available under License Creative Commons Attribution Non-commercial No Derivatives.

663kB
[thumbnail of Author Accepted Manuscript - Figure 2]
Preview
Image (JPEG) (Author Accepted Manuscript - Figure 2) - Accepted Version
Available under License Creative Commons Attribution Non-commercial No Derivatives.

362kB
[thumbnail of Author Accepted Manuscript - Figure 3]
Preview
Image (JPEG) (Author Accepted Manuscript - Figure 3) - Accepted Version
Available under License Creative Commons Attribution Non-commercial No Derivatives.

115kB
[thumbnail of Aurhor Accepted Manuscript - Figure 4]
Preview
Image (JPEG) (Aurhor Accepted Manuscript - Figure 4) - Accepted Version
Available under License Creative Commons Attribution Non-commercial No Derivatives.

344kB
[thumbnail of Author Accepted Manuscript - Figure 5]
Preview
Image (JPEG) (Author Accepted Manuscript - Figure 5) - Accepted Version
Available under License Creative Commons Attribution Non-commercial No Derivatives.

380kB
[thumbnail of Author Accepted Manuscript - Figure 6]
Preview
Image (JPEG) (Author Accepted Manuscript - Figure 6) - Accepted Version
Available under License Creative Commons Attribution Non-commercial No Derivatives.

145kB

Official URL: https://doi.org/10.1080/19424280.2019.1593516

Abstract

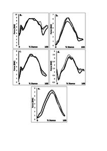
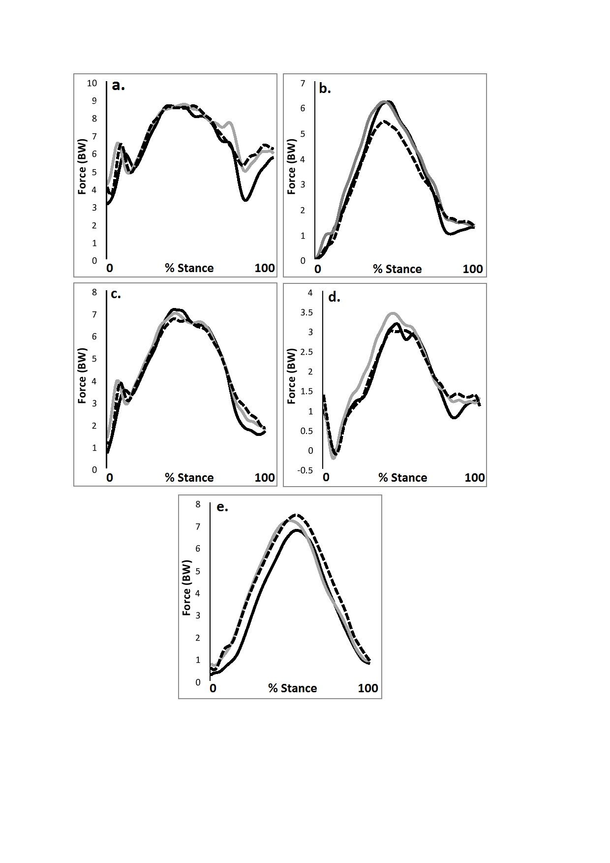
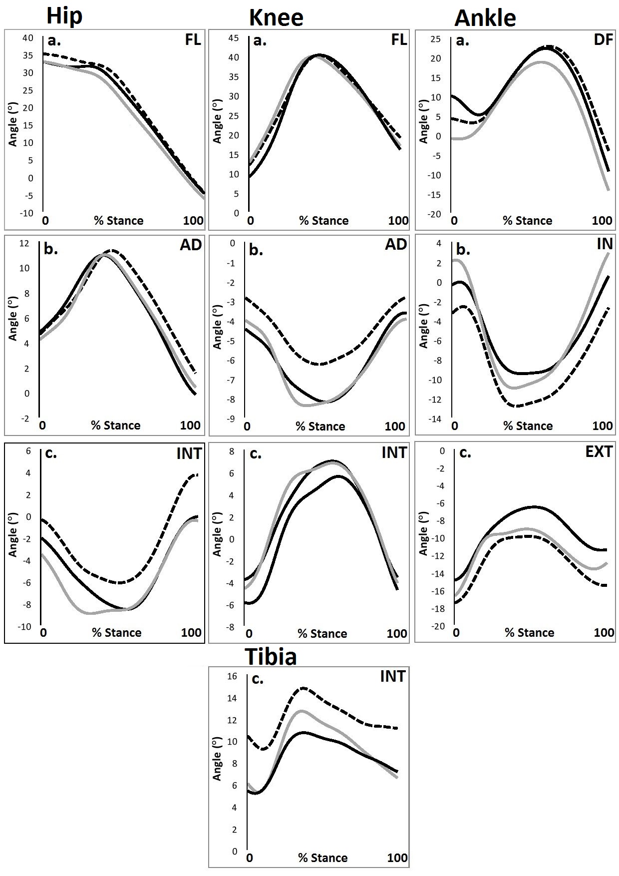
The aim of this study was to examine the effects of existing minimalist footwear, new sock-style minimalist footwear and conventional running footwear on lower extremity biomechanics, using a musculoskeletal simulation and statistical parametric mapping (SPM) approach. Thirteen male participants ran over an embedded force plate at 4.0 m/s, in (1) existing minimalist footwear, (2) new sock-style minimalist footwear and (3) conventional running shoes. Kinematics of the lower extremities was collected using an eight-camera motion analysis system and lower extremity joint loading was also explored using a musculoskeletal simulation approach. Differences between footwear conditions were examined using SPM and one-way repeated measures ANOVA. The strike index indicated that the foot contact position was significantly more anterior in existing minimalist footwear (44.19%) and new sock-style minimalist footwear (42.33%) compared to conventional running shoes (29.00%). The instantaneous loading rate was also significantly larger in existing minimalist footwear (271.68 BW/s) and new sock-style minimalist footwear (299.26 BW/s) in relation to conventional running shoes (122.48 BW/s). In addition, during the late stance phase compressive hip joint loading was significantly larger in both minimalist footwear. Similarly, Achilles tendon loading was statistically greater in both minimalist footwear compared to the conventional running shoe during the early and middle aspects of the stance phase. The observations from this analysis show that minimalist footwear may place non-habituated runners at greater risk from the mechanical factors linked to the aetiology of chronic lower limb running-related injuries.


Repository Staff Only: item control page